近年来,相变材料已经被作为未来随机存储器应用的重要候选材料而引起了广泛关注,同时,自旋电子学也被视为未来电子器件发展方向而被深入研究。 我们已经通过Fe掺杂将自旋引入到相变材料GeTe中,从而制备成功相变磁性材料。这种材料兼有相变特性和自旋电子学的性质,除了应用于相变随机存储器之外,在传感器、逻辑器件及多功能自旋电子器件中的应用都值得期待。
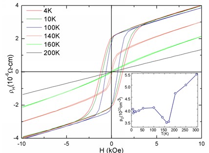
伟德国际唯一官网入口微电子学系博士生刘晋东在缪向水教授的指导下,研究了激光脉冲沉积BaF2衬底上的Ge1-xFexTe薄膜的磁性和电输运特性,发现了Ge1-xFexTe薄膜的反常霍尔效应。GeTe晶体中的大量缺陷导致了高的空穴浓度,这诱导了Ge1-xFexTe薄膜中的长程RKKY相互作用。磁阻率随着温度上升显示出了从正值到负值的转变,这可以归因于自发磁化和热效应相竞争的结果。同时,我们首次发现载流子浓度的最小值恰巧在居里温度160K处,这暗示出薄膜中铁磁机制与电输运的紧密联系,正好与RKKY相互作用一致。另外,高的居里温度使Ge1-xFexTe薄膜在电子器件中的应用成为可能。
该项工作得到了863项目(No. 2011AA010404)和国家国际合作项目(No.2010DFA11050)的资助,相关成果发表于Applied Physics Letters 102, 102402 (2013)。(刘晋东 供稿)
文章内容